Cool Blue Outer Glow Pointer

Soal Multiple Choice UTS IC VOLTAGE REGULATORS



DAFTAR ISI

1

2

3



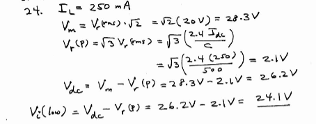
1.  Hitunglah nilai tegangan input minimum penyearah gelombang penuh dan jaringan kapasitor filter dari gambar 19.40 ketika terhubung ke beban 250 mA    kembali ] 




A. 22,6 V
B. 34,4 V
C. 28,3 V
D. 24,1 V
E. 25,6 V

Jawaban : D

Pembahasan





2. Tentukan nilai maksimum arus beban pada  gambar rangkaian 19.29.  [ kembali ]                     
         
A. 645 mA
B. 755 mA
C. 458 mA
D. 541 mA
E. 469 mA

Jawaban : C

Pembahasan




           
3.  Untuk output transformator 15 V dan kapasitor filter 250 F, hitunglah tegangan input minimum     saat terhubung ke gambar beban 400 mA.   [ kembali ]      

A. 8,35 V
B. 1,37 V
C. 2,65 V
D. 3,47 V
E. 6,45 V

Jawaban : A

Pembahasan



Tidak ada komentar:

Posting Komentar