1. Tentukan nilai dari VG dari rangkaian di bawah ini! [ kembali ]
A. 2,16 V
B. 2,12 V
C. 2,11 V
D. 2,15 V
E. 2,10 V
Jawabannya : D
Pembahasan :
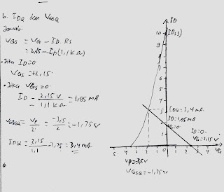
2. Tentukan nilai dari IDQ dan VGSQ dari rangkaian di bawah ini ! [ kembali ]
A. 3,4 mA dan -1,75 V
B. 2,2 mA dan 1,75 V
C. 3,4 mA dan 1,70 V
D, -2 mA dan 3,4 V
E. -3,4 mA dan -1,75 V
Jawabannya : A
Pembahasan :
3. Tentukan nilai dari VD dan VS dari rangkaian di bawah ini ! [ kembali ]
A. 12,53 V dan 3,17 V
B. 13.23 V dan 3,25 V
C. 12,52 V dan 3,74 V
D. 14,12 V dan 3 V
E. 15 V dan 4 V
Jawabannya : C
Pembahasan :




Tidak ada komentar:
Posting Komentar